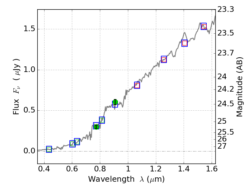
ACT0102-49 ACS+IR detection object #56

Color images and BPZ results
Catalog: 56.cat
Black segments are analyzed here.   Roll mouse over color images to view segments.
Best viewed in a wide browser window (1200 pixels or more).   Download SED & P(z) plots to view larger versions.
In P(z) plots: Yellow lines mark the cluster redshift z = 0.870,  

Object #56   x,y = (2580, 151)   RA, Dec = (01:03:03.312, -49:19:12.72) = (15.76380, -49.32020)   BPZ = 0.856 [0.329--1.258]   type = 5.30 (ES0_B10 - Sbc_B10)   chisq2 = 0.08   ODDS = 0.51   z_cluster = 0.870