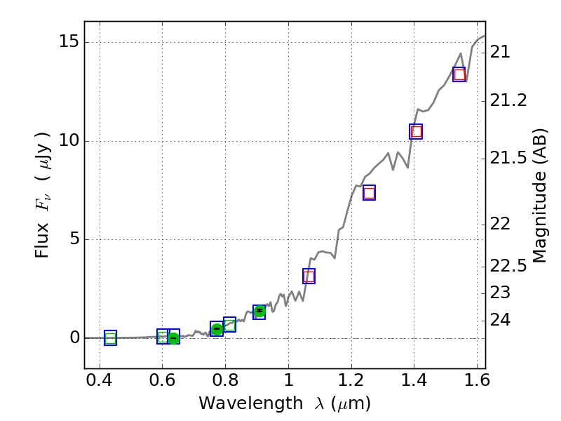
ACT0102-49 ACS+IR detection object #51

Color images and BPZ results
Catalog: 51.cat
Black segments are analyzed here.   Roll mouse over color images to view segments.
Best viewed in a wide browser window (1200 pixels or more).   Download SED & P(z) plots to view larger versions.
In P(z) plots: Yellow lines mark the cluster redshift z = 0.870,  

Object #51   x,y = (2599, 146)   RA, Dec = (01:03:03.192, -49:19:13.08) = (15.76330, -49.32030)   BPZ = 1.662 [1.450--1.712]   type = 1.00 (Ell7_A_0)   chisq2 = 0.02   ODDS = 0.89   z_cluster = 0.870