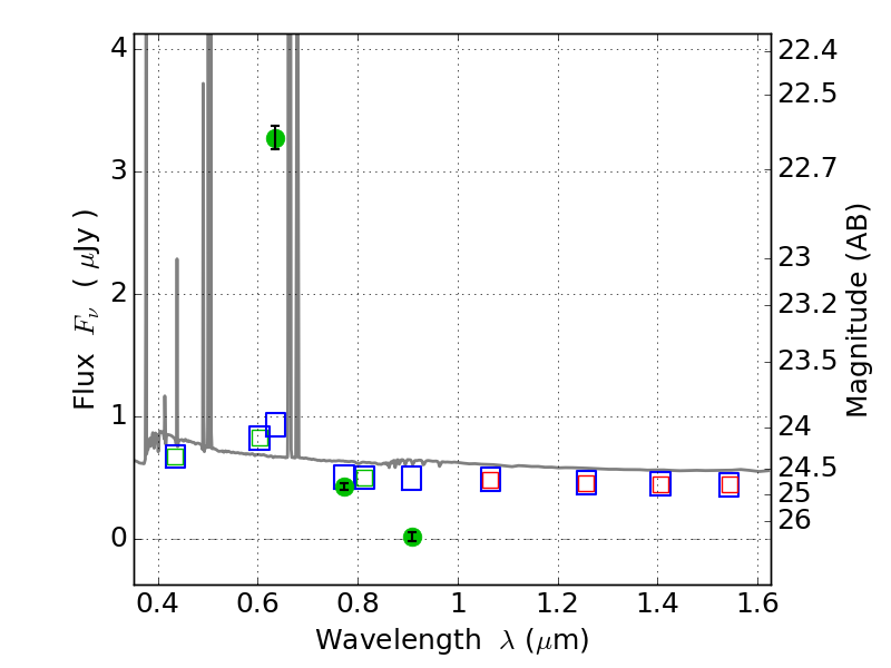
ACT0102-49 ACS+IR detection object #46

Color images and BPZ results
Catalog: 46.cat
Black segments are analyzed here.   Roll mouse over color images to view segments.
Best viewed in a wide browser window (1200 pixels or more).   Download SED & P(z) plots to view larger versions.
In P(z) plots: Yellow lines mark the cluster redshift z = 0.870,  

Object #46   x,y = (2618, 137)   RA, Dec = (01:03:03.096, -49:19:13.80) = (15.76290, -49.32050)   BPZ = 0.013 [0.010--0.029]   type = 11.00 (SB11_A_0_l)   chisq2 = 459.65   ODDS = 1.00   z_cluster = 0.870