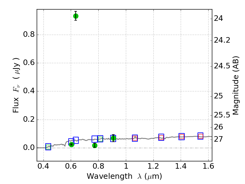
ACT0102-49 ACS+IR detection object #400

Color images and BPZ results
Catalog: 400.cat
Black segments are analyzed here.   Roll mouse over color images to view segments.
Best viewed in a wide browser window (1200 pixels or more).   Download SED & P(z) plots to view larger versions.
In P(z) plots: Yellow lines mark the cluster redshift z = 0.870,  

Object #400   x,y = (2170, 503)   RA, Dec = (01:03:05.832, -49:18:51.84) = (15.77430, -49.31440)   BPZ = 3.590 [0.380--4.116]   type = 9.00 (SB2_B10)   chisq2 = 822.68   ODDS = 0.60   z_cluster = 0.870