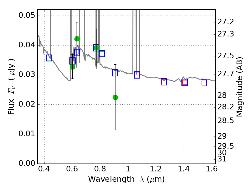
ACT0102-49 ACS+IR detection object #3785

Color images and BPZ results
Catalog: 3785.cat
Black segments are analyzed here.   Roll mouse over color images to view segments.
Best viewed in a wide browser window (1200 pixels or more).   Download SED & P(z) plots to view larger versions.
In P(z) plots: Yellow lines mark the cluster redshift z = 0.870,  

Object #3785   x,y = (1143, 1969)   RA, Dec = (01:03:12.120, -49:17:23.64) = (15.80050, -49.28990)   BPZ = 0.587 [0.190--3.865]   type = 11.00 (SB11_A_0_l)   chisq2 = 1.28   ODDS = 0.06   z_cluster = 0.870