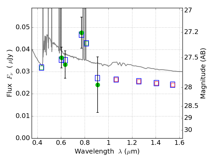
ACT0102-49 ACS+IR detection object #3632

Color images and BPZ results
Catalog: 3632.cat
Black segments are analyzed here.   Roll mouse over color images to view segments.
Best viewed in a wide browser window (1200 pixels or more).   Download SED & P(z) plots to view larger versions.
In P(z) plots: Yellow lines mark the cluster redshift z = 0.870,  

Object #3632   x,y = (4109, 1925)   RA, Dec = (01:02:53.952, -49:17:26.52) = (15.72480, -49.29070)   BPZ = 0.200 [0.110--3.800]   type = 11.00 (SB11_A_0_l)   chisq2 = 0.17   ODDS = 0.07   z_cluster = 0.870