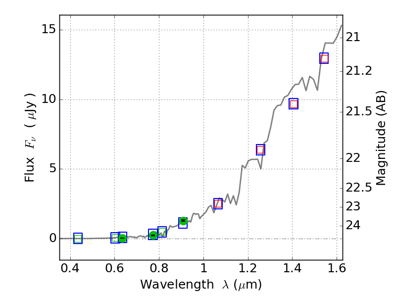
ACT0102-49 ACS+IR detection object #3452

Color images and BPZ results
Catalog: 3452.cat
Black segments are analyzed here.   Roll mouse over color images to view segments.
Best viewed in a wide browser window (1200 pixels or more).   Download SED & P(z) plots to view larger versions.
In P(z) plots: Yellow lines mark the cluster redshift z = 0.870,  

Object #3452   x,y = (513, 1864)   RA, Dec = (01:03:15.984, -49:17:29.76) = (15.81660, -49.29160)   BPZ = 1.916 [1.853--5.920]   type = 2.00 (Ell6_A_0)   chisq2 = 0.05   ODDS = 0.44   z_cluster = 0.870