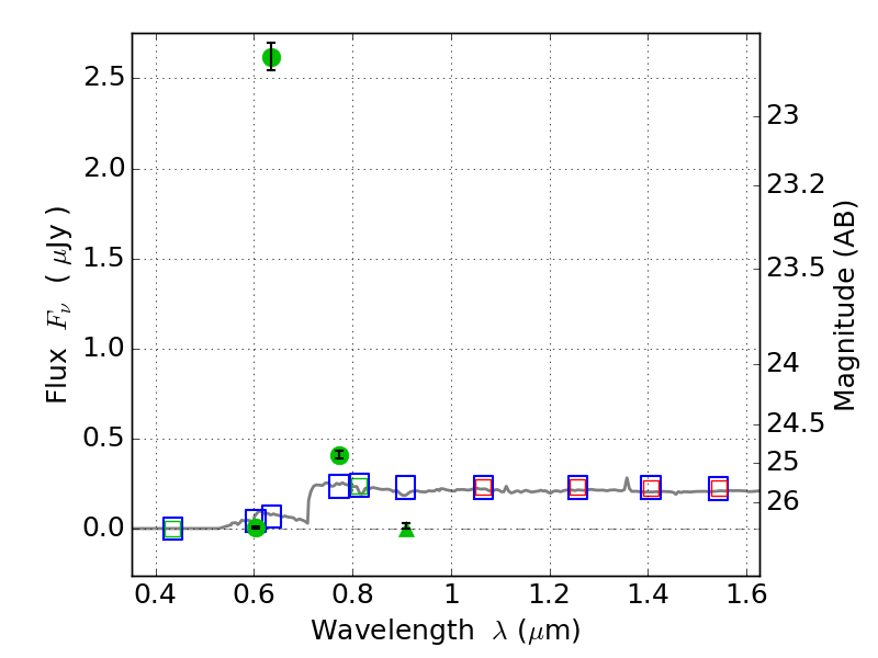
ACT0102-49 ACS+IR detection object #267

Color images and BPZ results
Catalog: 267.cat
Black segments are analyzed here.   Roll mouse over color images to view segments.
Best viewed in a wide browser window (1200 pixels or more).   Download SED & P(z) plots to view larger versions.
In P(z) plots: Yellow lines mark the cluster redshift z = 0.870,  

Object #267   x,y = (2252, 395)   RA, Dec = (01:03:05.328, -49:18:57.96) = (15.77220, -49.31610)   BPZ = 4.839 [4.794--4.915]   type = 10.00 (SB3_B10)   chisq2 = 1144.99   ODDS = 1.00   z_cluster = 0.870