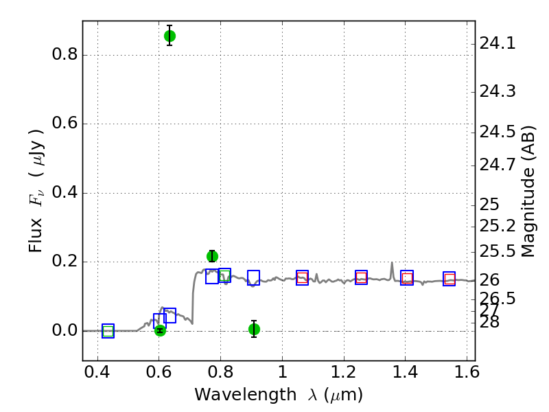
ACT0102-49 ACS+IR detection object #261

Color images and BPZ results
Catalog: 261.cat
Black segments are analyzed here.   Roll mouse over color images to view segments.
Best viewed in a wide browser window (1200 pixels or more).   Download SED & P(z) plots to view larger versions.
In P(z) plots: Yellow lines mark the cluster redshift z = 0.870,  

Object #261   x,y = (2287, 390)   RA, Dec = (01:03:05.112, -49:18:58.32) = (15.77130, -49.31620)   BPZ = 4.838 [4.764--4.937]   type = 10.00 (SB3_B10)   chisq2 = 752.69   ODDS = 1.00   z_cluster = 0.870