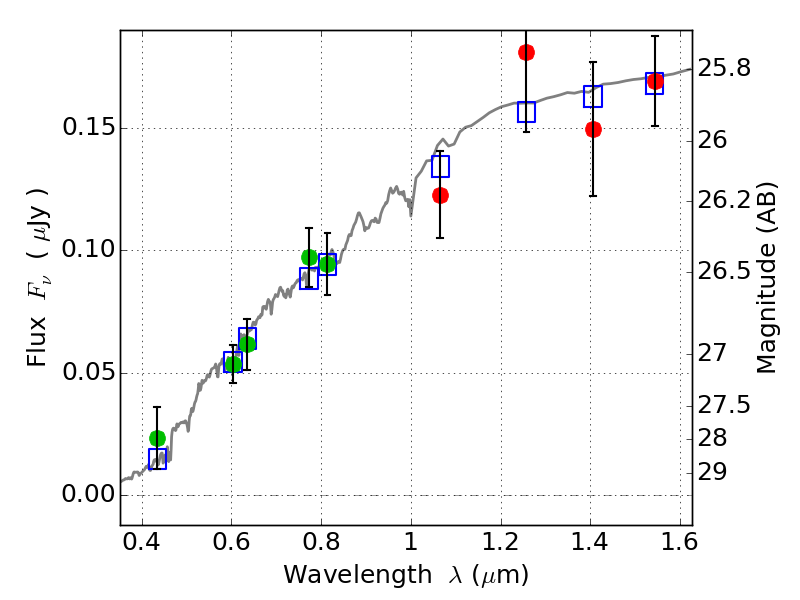
ACT0102-49 IR detection object #697

Color images and BPZ results
Catalog: 697.cat
Black segments are analyzed here.   Roll mouse over color images to view segments.
Best viewed in a wide browser window (1200 pixels or more).   Download SED & P(z) plots to view larger versions.
In P(z) plots: Yellow lines mark the cluster redshift z = 0.870,  

Object #697   x,y = (3232, 4358)   RA, Dec = (01:02:59.304, -49:15:00.36) = (15.74710, -49.25010)   BPZ = 0.166 [0.060--3.658]   type = 4.00 (Ell4_A_0)   chisq2 = 0.26   ODDS = 0.14   z_cluster = 0.870