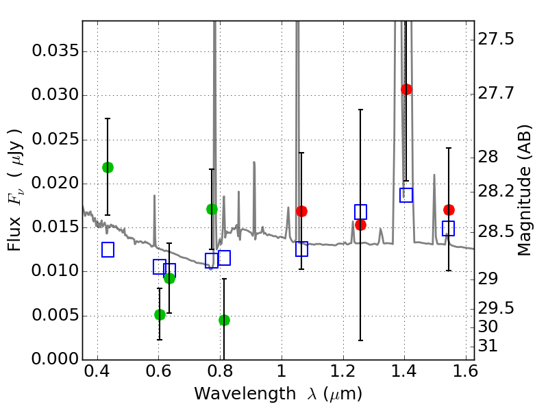
ACT0102-49 IR detection object #2439

Color images and BPZ results
Catalog: 2439.cat
Black segments are analyzed here.   Roll mouse over color images to view segments.
Best viewed in a wide browser window (1200 pixels or more).   Download SED & P(z) plots to view larger versions.
In P(z) plots: Yellow lines mark the cluster redshift z = 0.870,  

Object #2439   x,y = (3690, 5082)   RA, Dec = (01:02:56.496, -49:14:16.80) = (15.73540, -49.23800)   BPZ = 1.101 [0.415--2.908]   type = 10.50 (SB11_A_0_l - SB3_B10)   chisq2 = 1.87   ODDS = 0.13   z_cluster = 0.870