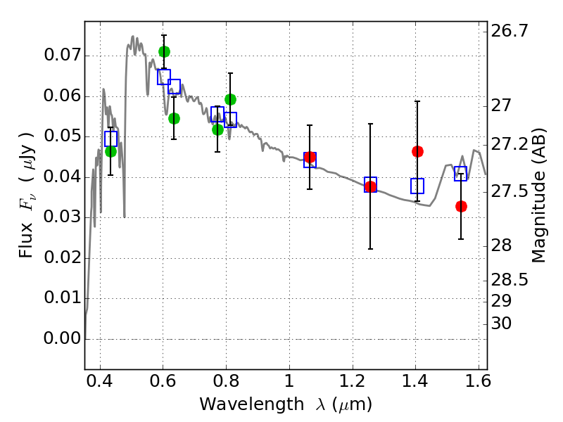
ACT0102-49 IR detection object #2432

Color images and BPZ results
Catalog: 2432.cat
Black segments are analyzed here.   Roll mouse over color images to view segments.
Best viewed in a wide browser window (1200 pixels or more).   Download SED & P(z) plots to view larger versions.
In P(z) plots: Yellow lines mark the cluster redshift z = 0.870,  

Object #2432   x,y = (4445, 5126)   RA, Dec = (01:02:51.888, -49:14:14.28) = (15.71620, -49.23730)   BPZ = 2.942 [0.291--3.187]   type = 11.00 (SB11_A_0_l)   chisq2 = 0.76   ODDS = 0.67   z_cluster = 0.870