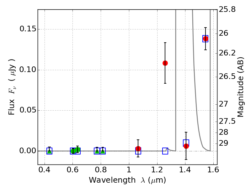
ACT0102-49 IR detection object #2109

Color images and BPZ results
Catalog: 2109.cat
Black segments are analyzed here.   Roll mouse over color images to view segments.
Best viewed in a wide browser window (1200 pixels or more).   Download SED & P(z) plots to view larger versions.
In P(z) plots: Yellow lines mark the cluster redshift z = 0.870,  

Object #2109   x,y = (4402, 2766)   RA, Dec = (01:02:52.152, -49:16:35.76) = (15.71730, -49.27660)   BPZ = 11.993 [2.640--12.896]   type = 9.00 (SB2_B10)   chisq2 = 2.77   ODDS = 0.29   z_cluster = 0.870