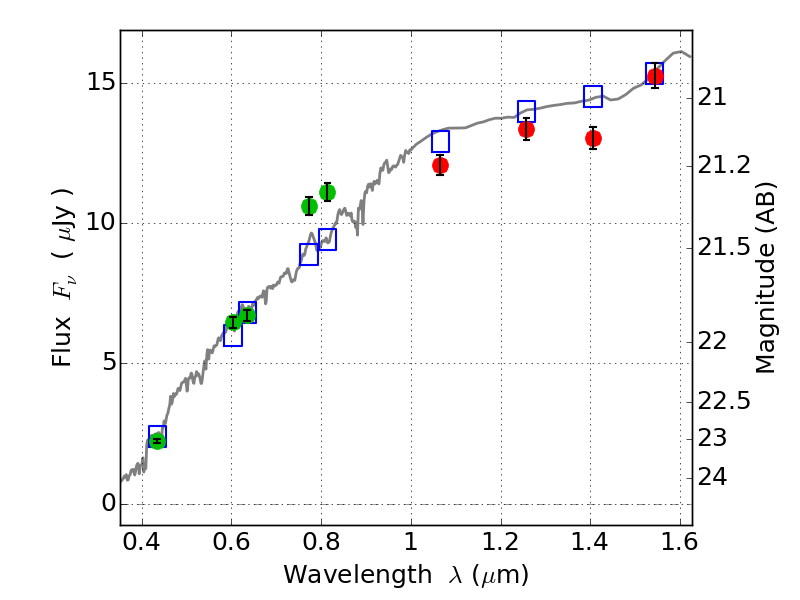
ACT0102-49 IR detection object #153

Color images and BPZ results
Catalog: 153.cat
Black segments are analyzed here.   Roll mouse over color images to view segments.
Best viewed in a wide browser window (1200 pixels or more).   Download SED & P(z) plots to view larger versions.
In P(z) plots: Yellow lines mark the cluster redshift z = 0.870,  

Object #153   x,y = (2722, 2225)   RA, Dec = (01:03:02.448, -49:17:08.16) = (15.76020, -49.28560)   BPZ = 0.035 [0.014--0.055]   type = 4.00 (Ell4_A_0)   chisq2 = 1.35   ODDS = 1.00   z_cluster = 0.870