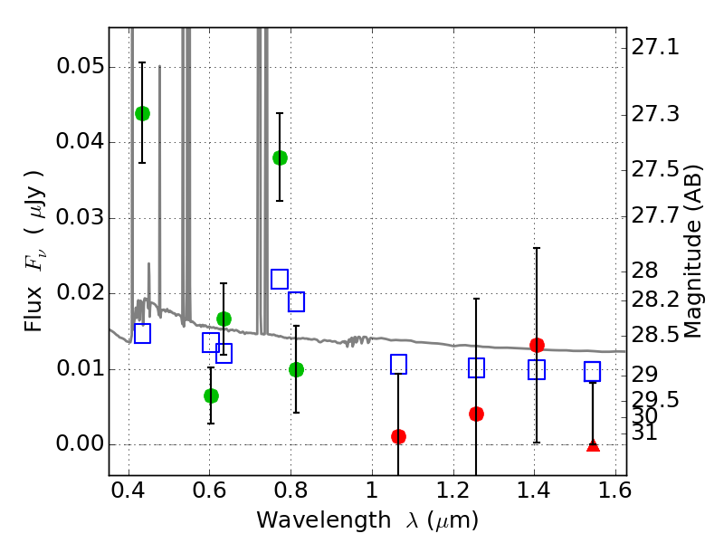
ACT0102-49 ACS+IR detection object #9307

Color images and BPZ results
Catalog: 9307.cat
Black segments are analyzed here.   Roll mouse over color images to view segments.
Best viewed in a wide browser window (1200 pixels or more).   Download SED & P(z) plots to view larger versions.
In P(z) plots: Yellow lines mark the cluster redshift z = 0.870,  

Object #9307   x,y = (4339, 3947)   RA, Dec = (01:02:52.536, -49:15:24.84) = (15.71890, -49.25690)   BPZ = 0.096 [0.079--2.587]   type = 11.00 (SB11_A_0_l)   chisq2 = 4.41   ODDS = 0.22   z_cluster = 0.870