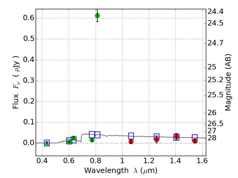
ACT0102-49 ACS+IR detection object #8630

Color images and BPZ results
Catalog: 8630.cat
Black segments are analyzed here.   Roll mouse over color images to view segments.
Best viewed in a wide browser window (1200 pixels or more).   Download SED & P(z) plots to view larger versions.
In P(z) plots: Yellow lines mark the cluster redshift z = 0.870,  

Object #8630   x,y = (2371, 3625)   RA, Dec = (01:03:04.584, -49:15:44.28) = (15.76910, -49.26230)   BPZ = 4.687 [4.375--4.924]   type = 11.00 (SB11_A_0_l)   chisq2 = 83.01   ODDS = 0.89   z_cluster = 0.870