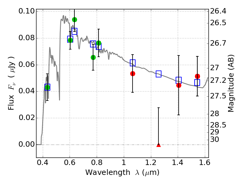
ACT0102-49 ACS+IR detection object #8568

Color images and BPZ results
Catalog: 8568.cat
Black segments are analyzed here.   Roll mouse over color images to view segments.
Best viewed in a wide browser window (1200 pixels or more).   Download SED & P(z) plots to view larger versions.
In P(z) plots: Yellow lines mark the cluster redshift z = 0.870,  

Object #8568   x,y = (4823, 3601)   RA, Dec = (01:02:49.560, -49:15:45.72) = (15.70650, -49.26270)   BPZ = 3.324 [0.306--3.547]   type = 11.00 (SB11_A_0_l)   chisq2 = 0.64   ODDS = 0.64   z_cluster = 0.870