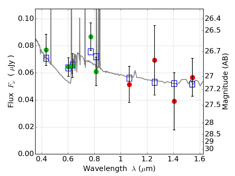
ACT0102-49 ACS+IR detection object #5881

Color images and BPZ results
Catalog: 5881.cat
Black segments are analyzed here.   Roll mouse over color images to view segments.
Best viewed in a wide browser window (1200 pixels or more).   Download SED & P(z) plots to view larger versions.
In P(z) plots: Yellow lines mark the cluster redshift z = 0.870,  

Object #5881   x,y = (3563, 2697)   RA, Dec = (01:02:57.288, -49:16:39.72) = (15.73870, -49.27770)   BPZ = 0.679 [0.439--2.891]   type = 11.00 (SB11_A_0_l)   chisq2 = 0.47   ODDS = 0.17   z_cluster = 0.870