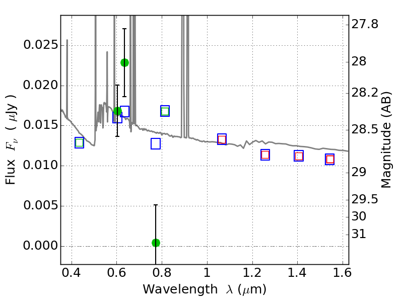
ACT0102-49 ACS+IR detection object #5325

Color images and BPZ results
Catalog: 5325.cat
Black segments are analyzed here.   Roll mouse over color images to view segments.
Best viewed in a wide browser window (1200 pixels or more).   Download SED & P(z) plots to view larger versions.
In P(z) plots: Yellow lines mark the cluster redshift z = 0.870,  

Object #5325   x,y = (2004, 2509)   RA, Dec = (01:03:06.840, -49:16:51.24) = (15.77850, -49.28090)   BPZ = 0.357 [0.308--3.568]   type = 11.00 (SB11_A_0_l)   chisq2 = 8.47   ODDS = 0.08   z_cluster = 0.870