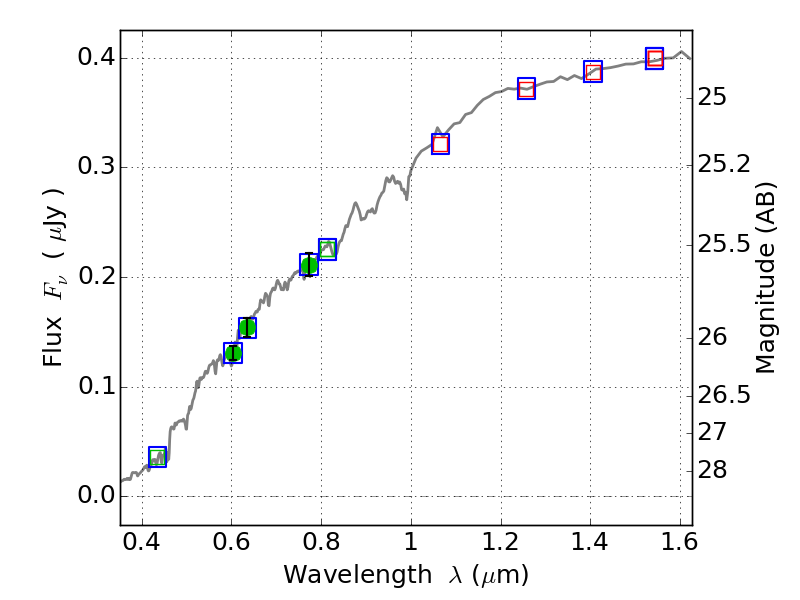
ACT0102-49 ACS+IR detection object #2899

Color images and BPZ results
Catalog: 2899.cat
Black segments are analyzed here.   Roll mouse over color images to view segments.
Best viewed in a wide browser window (1200 pixels or more).   Download SED & P(z) plots to view larger versions.
In P(z) plots: Yellow lines mark the cluster redshift z = 0.870,  

Object #2899   x,y = (1363, 1729)   RA, Dec = (01:03:10.776, -49:17:38.04) = (15.79490, -49.29390)   BPZ = 0.160 [0.085--3.871]   type = 4.00 (Ell4_A_0)   chisq2 = 0.00   ODDS = 0.09   z_cluster = 0.870