ACT0102-49 ACS+IR detection object #2346

Color images and BPZ results
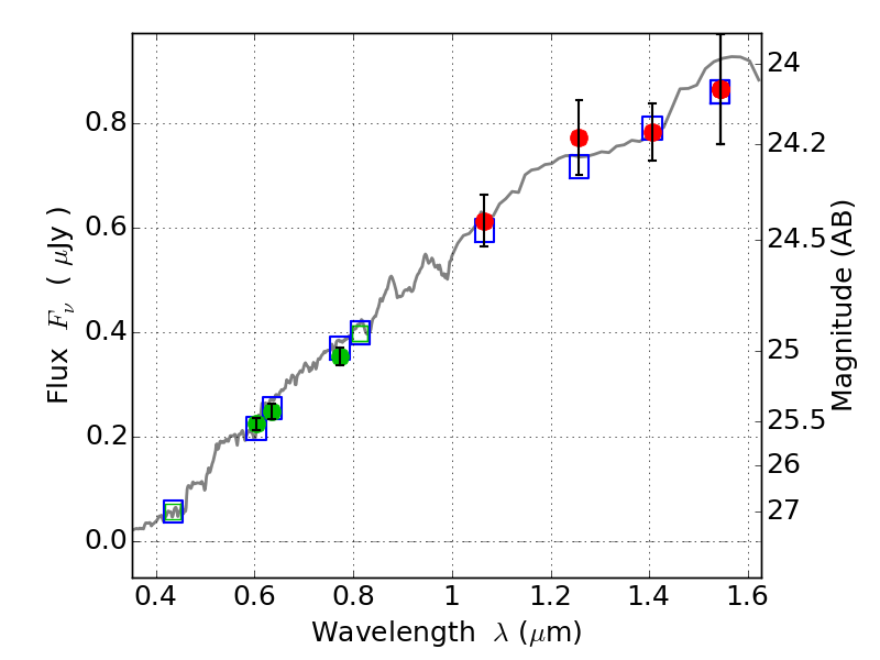
Catalog: 2346.cat
Black segments are analyzed here.   Roll mouse over color images to view segments.
Best viewed in a wide browser window (1200 pixels or more).   Download SED & P(z) plots to view larger versions.
In P(z) plots: Yellow lines mark the cluster redshift z = 0.870,  

Object #2346   x,y = (3548, 1516)   RA, Dec = (01:02:57.384, -49:17:50.64) = (15.73910, -49.29740)   BPZ = 0.164 [0.077--1.177]   type = 4.50 (ES0_B10 - Ell4_A_0)   chisq2 = 0.09   ODDS = 0.29   z_cluster = 0.870