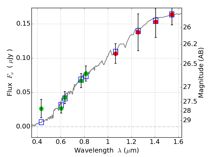
ACT0102-49 ACS+IR detection object #18338

Color images and BPZ results
Catalog: 18338.cat
Black segments are analyzed here.   Roll mouse over color images to view segments.
Best viewed in a wide browser window (1200 pixels or more).   Download SED & P(z) plots to view larger versions.
In P(z) plots: Yellow lines mark the cluster redshift z = 0.870,  

Object #18338   x,y = (3797, 4302)   RA, Dec = (01:02:55.848, -49:15:03.60) = (15.73270, -49.25100)   BPZ = 0.354 [0.200--1.133]   type = 3.00 (Ell5_A_0)   chisq2 = 0.18   ODDS = 0.27   z_cluster = 0.870