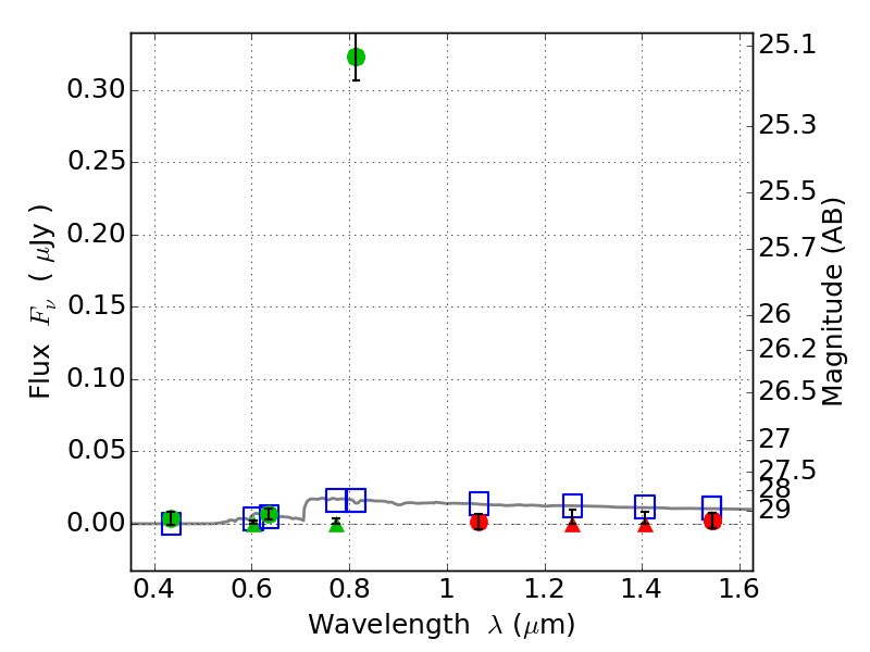
ACT0102-49 ACS+IR detection object #18149

Color images and BPZ results
Catalog: 18149.cat
Black segments are analyzed here.   Roll mouse over color images to view segments.
Best viewed in a wide browser window (1200 pixels or more).   Download SED & P(z) plots to view larger versions.
In P(z) plots: Yellow lines mark the cluster redshift z = 0.870,  

Object #18149   x,y = (5153, 4374)   RA, Dec = (01:02:47.544, -49:14:59.28) = (15.69810, -49.24980)   BPZ = 4.817 [0.210--5.040]   type = 11.00 (SB11_A_0_l)   chisq2 = 79.58   ODDS = 0.77   z_cluster = 0.870