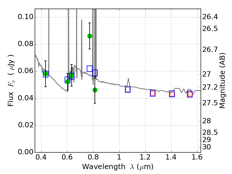
ACT0102-49 ACS+IR detection object #17508

Color images and BPZ results
Catalog: 17508.cat
Black segments are analyzed here.   Roll mouse over color images to view segments.
Best viewed in a wide browser window (1200 pixels or more).   Download SED & P(z) plots to view larger versions.
In P(z) plots: Yellow lines mark the cluster redshift z = 0.870,  

Object #17508   x,y = (2893, 4582)   RA, Dec = (01:03:01.392, -49:14:46.68) = (15.75580, -49.24630)   BPZ = 0.640 [0.121--2.760]   type = 11.00 (SB11_A_0_l)   chisq2 = 2.71   ODDS = 0.13   z_cluster = 0.870