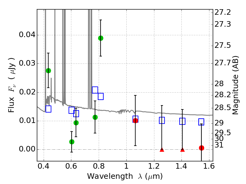
ACT0102-49 ACS+IR detection object #16736

Color images and BPZ results
Catalog: 16736.cat
Black segments are analyzed here.   Roll mouse over color images to view segments.
Best viewed in a wide browser window (1200 pixels or more).   Download SED & P(z) plots to view larger versions.
In P(z) plots: Yellow lines mark the cluster redshift z = 0.870,  

Object #16736   x,y = (4117, 4879)   RA, Dec = (01:02:53.880, -49:14:29.04) = (15.72450, -49.24140)   BPZ = 0.113 [0.088--1.080]   type = 11.00 (SB11_A_0_l)   chisq2 = 4.47   ODDS = 0.41   z_cluster = 0.870