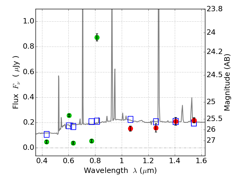
ACT0102-49 ACS+IR detection object #15793

Color images and BPZ results
Catalog: 15793.cat
Black segments are analyzed here.   Roll mouse over color images to view segments.
Best viewed in a wide browser window (1200 pixels or more).   Download SED & P(z) plots to view larger versions.
In P(z) plots: Yellow lines mark the cluster redshift z = 0.870,  

Object #15793   x,y = (3899, 5193)   RA, Dec = (01:02:55.224, -49:14:09.96) = (15.73010, -49.23610)   BPZ = 0.411 [0.301--0.425]   type = 9.70 (SB3_B10 - SB2_B10)   chisq2 = 111.50   ODDS = 0.92   z_cluster = 0.870