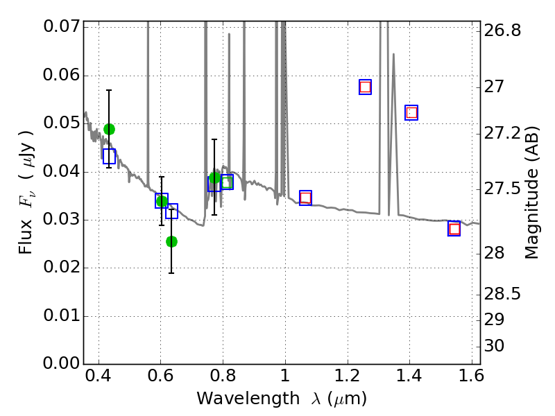
ACT0102-49 ACS+IR detection object #15634

Color images and BPZ results
Catalog: 15634.cat
Black segments are analyzed here.   Roll mouse over color images to view segments.
Best viewed in a wide browser window (1200 pixels or more).   Download SED & P(z) plots to view larger versions.
In P(z) plots: Yellow lines mark the cluster redshift z = 0.870,  

Object #15634   x,y = (2873, 5253)   RA, Dec = (01:03:01.512, -49:14:06.36) = (15.75630, -49.23510)   BPZ = 1.003 [0.653--2.575]   type = 11.00 (SB11_A_0_l)   chisq2 = 1.10   ODDS = 0.15   z_cluster = 0.870