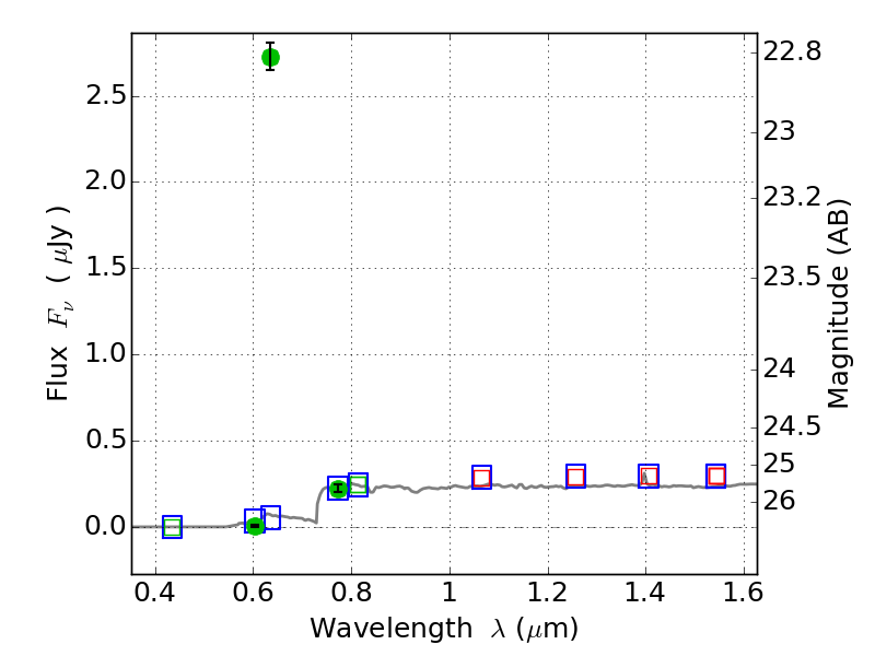
ACT0102-49 ACS+IR detection object #15266

Color images and BPZ results
Catalog: 15266.cat
Black segments are analyzed here.   Roll mouse over color images to view segments.
Best viewed in a wide browser window (1200 pixels or more).   Download SED & P(z) plots to view larger versions.
In P(z) plots: Yellow lines mark the cluster redshift z = 0.870,  

Object #15266   x,y = (7015, 5351)   RA, Dec = (01:02:36.144, -49:14:00.60) = (15.65060, -49.23350)   BPZ = 5.012 [2.523--8.511]   type = 9.60 (SB3_B10 - SB2_B10)   chisq2 = 1025.00   ODDS = 0.62   z_cluster = 0.870