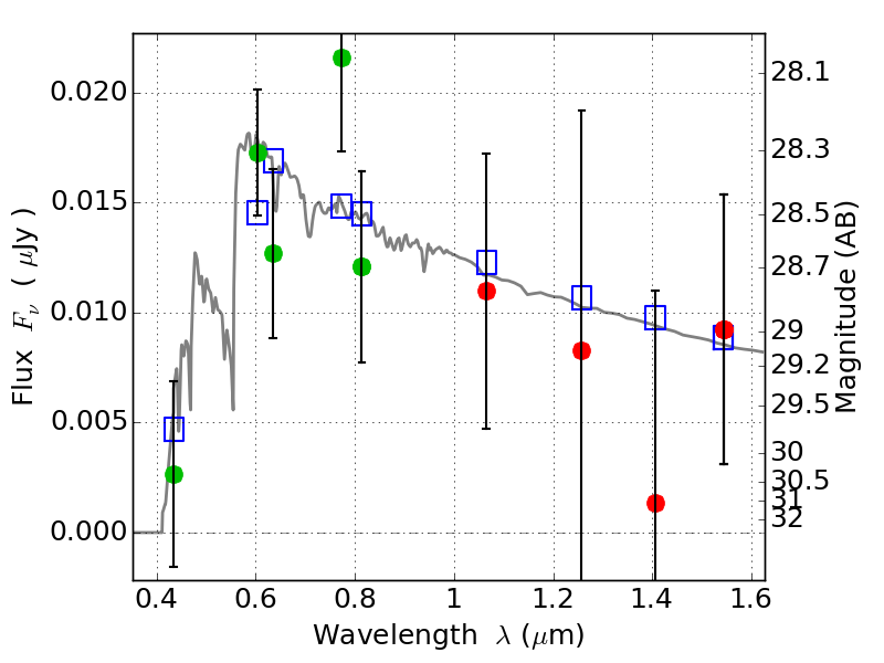
ACT0102-49 ACS+IR detection object #14918

Color images and BPZ results
Catalog: 14918.cat
Black segments are analyzed here.   Roll mouse over color images to view segments.
Best viewed in a wide browser window (1200 pixels or more).   Download SED & P(z) plots to view larger versions.
In P(z) plots: Yellow lines mark the cluster redshift z = 0.870,  

Object #14918   x,y = (4103, 5467)   RA, Dec = (01:02:53.976, -49:13:53.76) = (15.72490, -49.23160)   BPZ = 3.570 [0.164--4.048]   type = 11.00 (SB11_A_0_l)   chisq2 = 0.65   ODDS = 0.40   z_cluster = 0.870