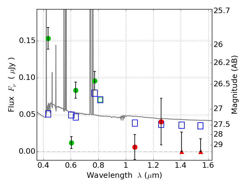
ACT0102-49 ACS+IR detection object #13935

Color images and BPZ results
Catalog: 13935.cat
Black segments are analyzed here.   Roll mouse over color images to view segments.
Best viewed in a wide browser window (1200 pixels or more).   Download SED & P(z) plots to view larger versions.
In P(z) plots: Yellow lines mark the cluster redshift z = 0.870,  

Object #13935   x,y = (4135, 4048)   RA, Dec = (01:02:53.784, -49:15:18.72) = (15.72410, -49.25520)   BPZ = 0.129 [0.085--1.925]   type = 11.00 (SB11_A_0_l)   chisq2 = 12.12   ODDS = 0.78   z_cluster = 0.870