ACT0102-49 ACS+IR detection object #10913

Color images and BPZ results
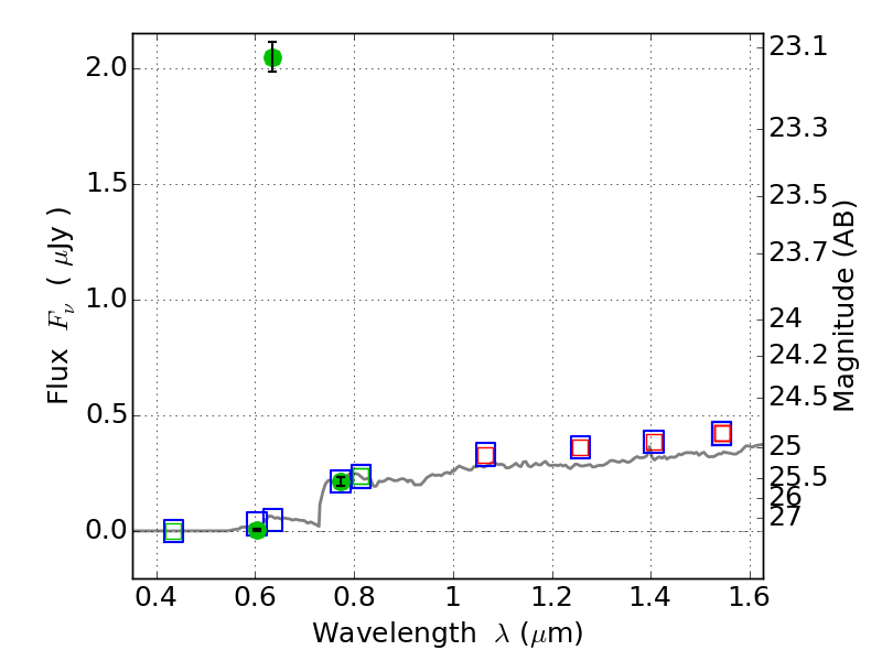
Catalog: 10913.cat
Black segments are analyzed here.   Roll mouse over color images to view segments.
Best viewed in a wide browser window (1200 pixels or more).   Download SED & P(z) plots to view larger versions.
In P(z) plots: Yellow lines mark the cluster redshift z = 0.870,  

Object #10913   x,y = (4557, 6949)   RA, Dec = (01:02:51.192, -49:12:24.84) = (15.71330, -49.20690)   BPZ = 5.013 [4.796--8.497]   type = 8.00 (SB1_B10)   chisq2 = 861.30   ODDS = 0.65   z_cluster = 0.870