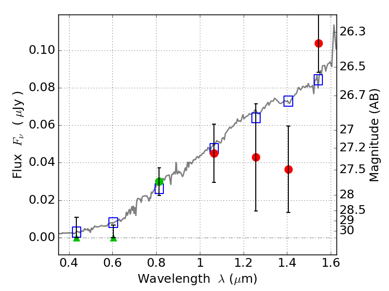
ABELLS295 IR detection object #574

Color images and BPZ results
Catalog: 574.cat
Black segments are analyzed here.   Roll mouse over color images to view segments.
Best viewed in a wide browser window (1200 pixels or more).   Download SED & P(z) plots to view larger versions.
In P(z) plots: Yellow lines mark the cluster redshift z = 0.300,  

Object #574   x,y = (1204, 2502)   RA, Dec = (02:45:38.160, -53:02:26.88) = (41.40900, -53.04080)   BPZ = 0.776 [0.486--5.650]   type = 6.00 (Sbc_B10)   stellarity = 0.00   chisq2 = 1.34   ODDS = 0.17   z_cluster = 0.300