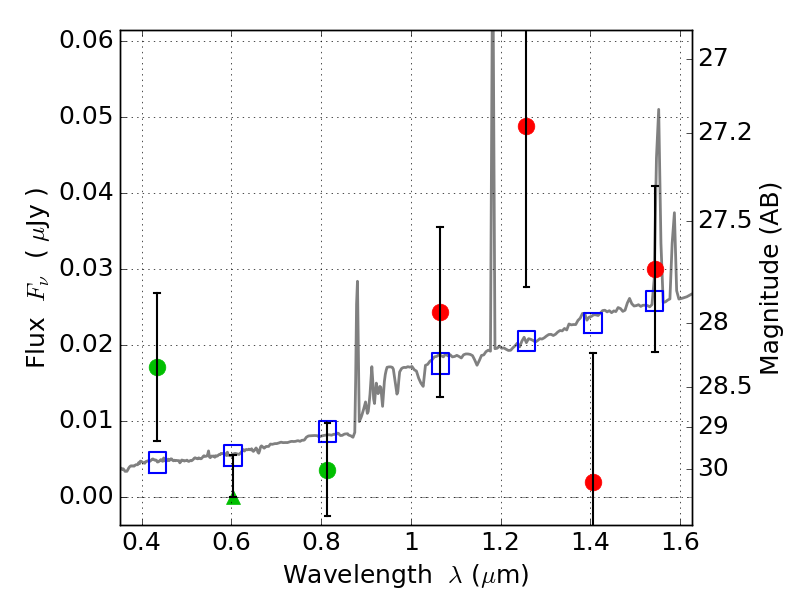
ABELLS295 IR detection object #344

Color images and BPZ results
Catalog: 344.cat
Black segments are analyzed here.   Roll mouse over color images to view segments.
Best viewed in a wide browser window (1200 pixels or more).   Download SED & P(z) plots to view larger versions.
In P(z) plots: Yellow lines mark the cluster redshift z = 0.300,  

Object #344   x,y = (3162, 3063)   RA, Dec = (02:45:25.128, -53:01:53.40) = (41.35470, -53.03150)   BPZ = 1.360 [0.523--7.566]   type = 8.00 (SB1_B10)   stellarity = 0.00   chisq2 = 1.73   ODDS = 0.10   z_cluster = 0.300