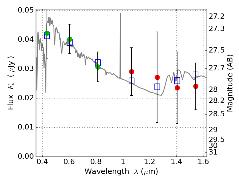
ABELLS295 IR detection object #149

Color images and BPZ results
Catalog: 149.cat
Black segments are analyzed here.   Roll mouse over color images to view segments.
Best viewed in a wide browser window (1200 pixels or more).   Download SED & P(z) plots to view larger versions.
In P(z) plots: Yellow lines mark the cluster redshift z = 0.300,  

Object #149   x,y = (2768, 3294)   RA, Dec = (02:45:27.744, -53:01:39.72) = (41.36560, -53.02770)   BPZ = 2.511 [0.299--3.075]   type = 11.00 (SB11_A_0_l)   stellarity = 0.01   chisq2 = 0.13   ODDS = 0.24   z_cluster = 0.300