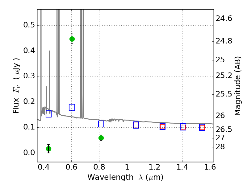
ABELLS295 ACS+IR detection object #4

Color images and BPZ results
Catalog: 4.cat
Black segments are analyzed here.   Roll mouse over color images to view segments.
Best viewed in a wide browser window (1200 pixels or more).   Download SED & P(z) plots to view larger versions.
In P(z) plots: Yellow lines mark the cluster redshift z = 0.300,  

Object #4   x,y = (1255, 4721)   RA, Dec = (02:45:37.800, -53:00:-14.04) = (41.40750, -53.00390)   BPZ = 0.017 [0.010--0.039]   type = 11.00 (SB11_A_0_l)   stellarity = 0.99   chisq2 = 197.40   ODDS = 1.00   z_cluster = 0.300