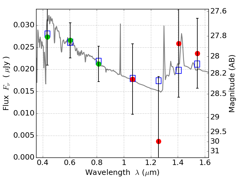
ABELLS295 ACS+IR detection object #1663

Color images and BPZ results
Catalog: 1663.cat
Black segments are analyzed here.   Roll mouse over color images to view segments.
Best viewed in a wide browser window (1200 pixels or more).   Download SED & P(z) plots to view larger versions.
In P(z) plots: Yellow lines mark the cluster redshift z = 0.300,  

Object #1663   x,y = (1900, 3243)   RA, Dec = (02:45:33.528, -53:01:42.60) = (41.38970, -53.02850)   BPZ = 2.481 [0.488--3.093]   type = 10.80 (SB11_A_0_l - SB3_B10)   stellarity = 0.70   chisq2 = 0.31   ODDS = 0.21   z_cluster = 0.300