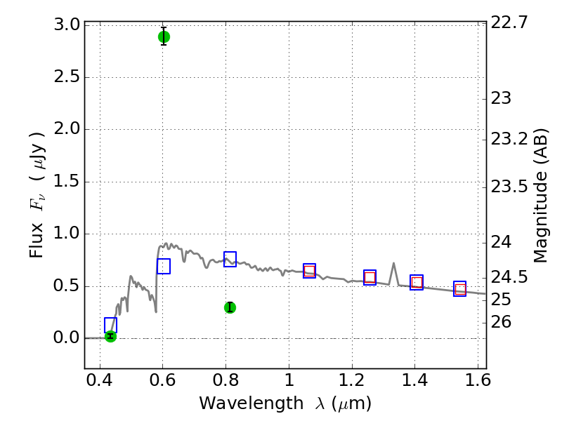
ABELLS295 ACS+IR detection object #958

Color images and BPZ results
Catalog: 958.cat
Black segments are analyzed here.   Roll mouse over color images to view segments.
Best viewed in a wide browser window (1200 pixels or more).   Download SED & P(z) plots to view larger versions.
In P(z) plots: Yellow lines mark the cluster redshift z = 0.300,  

Object #958   x,y = (1041, 3789)   RA, Dec = (02:45:39.216, -53:01:09.84) = (41.41340, -53.01940)   BPZ = 3.768 [3.684--3.831]   type = 11.00 (SB11_A_0_l)   chisq2 = 544.04   ODDS = 1.00   z_cluster = 0.300