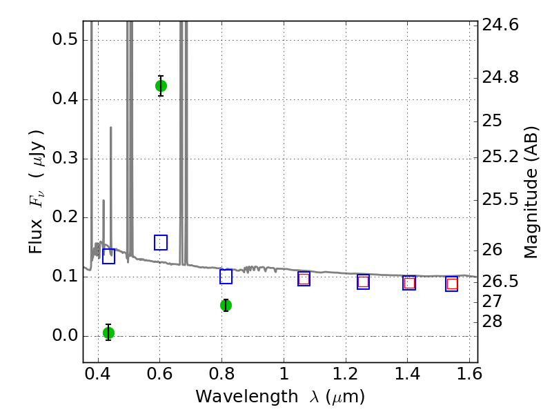
ABELLS295 ACS+IR detection object #826

Color images and BPZ results
Catalog: 826.cat
Black segments are analyzed here.   Roll mouse over color images to view segments.
Best viewed in a wide browser window (1200 pixels or more).   Download SED & P(z) plots to view larger versions.
In P(z) plots: Yellow lines mark the cluster redshift z = 0.300,  

Object #826   x,y = (1080, 3884)   RA, Dec = (02:45:38.976, -53:01:04.08) = (41.41240, -53.01780)   BPZ = 0.017 [0.010--0.041]   type = 11.00 (SB11_A_0_l)   chisq2 = 245.55   ODDS = 0.99   z_cluster = 0.300