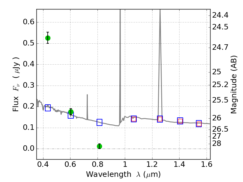
ABELLS295 ACS+IR detection object #668

Color images and BPZ results
Catalog: 668.cat
Black segments are analyzed here.   Roll mouse over color images to view segments.
Best viewed in a wide browser window (1200 pixels or more).   Download SED & P(z) plots to view larger versions.
In P(z) plots: Yellow lines mark the cluster redshift z = 0.300,  

Object #668   x,y = (1112, 4000)   RA, Dec = (02:45:38.760, -53:00:-57.24) = (41.41150, -53.01590)   BPZ = 1.593 [1.478--2.053]   type = 11.00 (SB11_A_0_l)   chisq2 = 169.10   ODDS = 0.66   z_cluster = 0.300