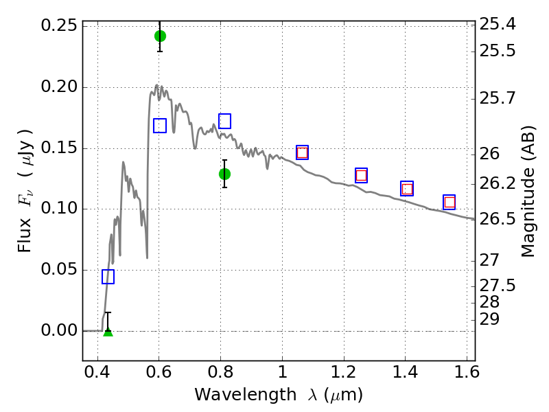
ABELLS295 ACS+IR detection object #588

Color images and BPZ results
Catalog: 588.cat
Black segments are analyzed here.   Roll mouse over color images to view segments.
Best viewed in a wide browser window (1200 pixels or more).   Download SED & P(z) plots to view larger versions.
In P(z) plots: Yellow lines mark the cluster redshift z = 0.300,  

Object #588   x,y = (1122, 4057)   RA, Dec = (02:45:38.688, -53:00:-53.64) = (41.41120, -53.01490)   BPZ = 3.634 [3.510--3.754]   type = 11.00 (SB11_A_0_l)   chisq2 = 30.33   ODDS = 1.00   z_cluster = 0.300