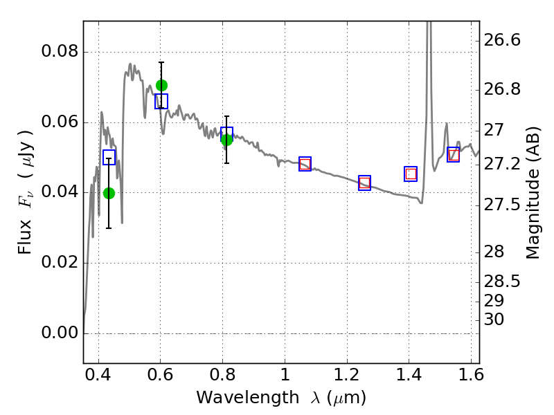
ABELLS295 ACS+IR detection object #5591

Color images and BPZ results
Catalog: 5591.cat
Black segments are analyzed here.   Roll mouse over color images to view segments.
Best viewed in a wide browser window (1200 pixels or more).   Download SED & P(z) plots to view larger versions.
In P(z) plots: Yellow lines mark the cluster redshift z = 0.300,  

Object #5591   x,y = (1483, 1269)   RA, Dec = (02:45:36.288, -53:03:41.04) = (41.40120, -53.06140)   BPZ = 2.933 [0.248--3.404]   type = 10.60 (SB11_A_0_l - SB3_B10)   chisq2 = 1.27   ODDS = 0.31   z_cluster = 0.300