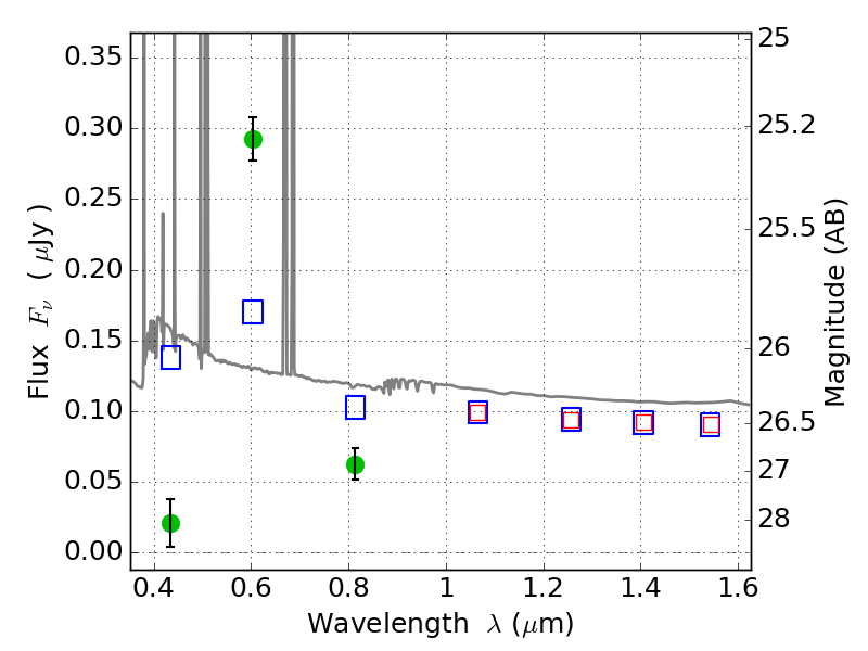
ABELLS295 ACS+IR detection object #5239

Color images and BPZ results
Catalog: 5239.cat
Black segments are analyzed here.   Roll mouse over color images to view segments.
Best viewed in a wide browser window (1200 pixels or more).   Download SED & P(z) plots to view larger versions.
In P(z) plots: Yellow lines mark the cluster redshift z = 0.300,  

Object #5239   x,y = (489, 1493)   RA, Dec = (02:45:42.912, -53:03:27.72) = (41.42880, -53.05770)   BPZ = 0.018 [0.010--0.047]   type = 11.00 (SB11_A_0_l)   chisq2 = 80.95   ODDS = 1.00   z_cluster = 0.300