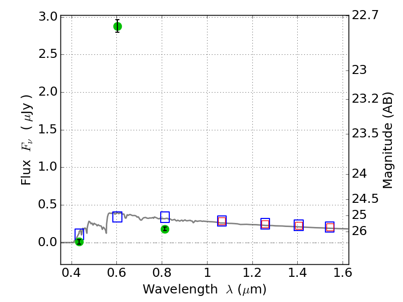
ABELLS295 ACS+IR detection object #5224

Color images and BPZ results
Catalog: 5224.cat
Black segments are analyzed here.   Roll mouse over color images to view segments.
Best viewed in a wide browser window (1200 pixels or more).   Download SED & P(z) plots to view larger versions.
In P(z) plots: Yellow lines mark the cluster redshift z = 0.300,  

Object #5224   x,y = (479, 1497)   RA, Dec = (02:45:42.984, -53:03:27.36) = (41.42910, -53.05760)   BPZ = 3.567 [3.362--3.660]   type = 11.00 (SB11_A_0_l)   chisq2 = 833.43   ODDS = 0.96   z_cluster = 0.300