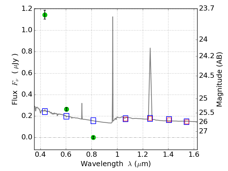
ABELLS295 ACS+IR detection object #5031

Color images and BPZ results
Catalog: 5031.cat
Black segments are analyzed here.   Roll mouse over color images to view segments.
Best viewed in a wide browser window (1200 pixels or more).   Download SED & P(z) plots to view larger versions.
In P(z) plots: Yellow lines mark the cluster redshift z = 0.300,  

Object #5031   x,y = (4061, 1600)   RA, Dec = (02:45:19.128, -53:03:21.24) = (41.32970, -53.05590)   BPZ = 1.594 [1.547--1.927]   type = 11.00 (SB11_A_0_l)   chisq2 = 483.52   ODDS = 0.84   z_cluster = 0.300