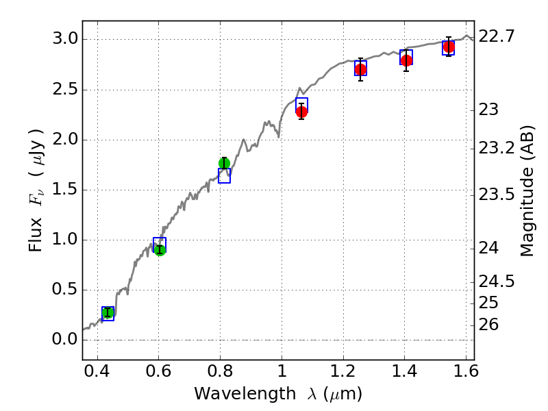
ABELLS295 ACS+IR detection object #5020

Color images and BPZ results
Catalog: 5020.cat
Black segments are analyzed here.   Roll mouse over color images to view segments.
Best viewed in a wide browser window (1200 pixels or more).   Download SED & P(z) plots to view larger versions.
In P(z) plots: Yellow lines mark the cluster redshift z = 0.300,  

Object #5020   x,y = (2165, 1596)   RA, Dec = (02:45:31.752, -53:03:21.24) = (41.38230, -53.05590)   BPZ = 0.159 [0.080--0.478]   type = 3.90 (Ell4_A_0 - Ell5_A_0)   chisq2 = 0.15   ODDS = 0.77   z_cluster = 0.300