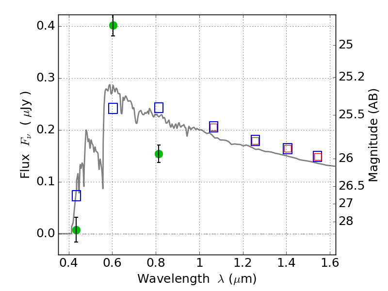
ABELLS295 ACS+IR detection object #4737

Color images and BPZ results
Catalog: 4737.cat
Black segments are analyzed here.   Roll mouse over color images to view segments.
Best viewed in a wide browser window (1200 pixels or more).   Download SED & P(z) plots to view larger versions.
In P(z) plots: Yellow lines mark the cluster redshift z = 0.300,  

Object #4737   x,y = (522, 1736)   RA, Dec = (02:45:42.696, -53:03:12.96) = (41.42790, -53.05360)   BPZ = 3.591 [3.400--3.690]   type = 11.00 (SB11_A_0_l)   chisq2 = 55.28   ODDS = 0.97   z_cluster = 0.300