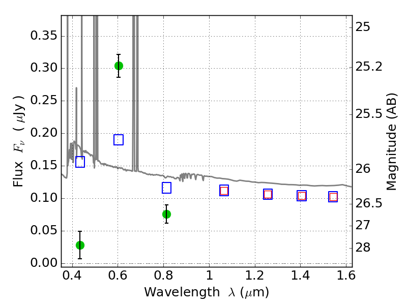
ABELLS295 ACS+IR detection object #4632

Color images and BPZ results
Catalog: 4632.cat
Black segments are analyzed here.   Roll mouse over color images to view segments.
Best viewed in a wide browser window (1200 pixels or more).   Download SED & P(z) plots to view larger versions.
In P(z) plots: Yellow lines mark the cluster redshift z = 0.300,  

Object #4632   x,y = (562, 1806)   RA, Dec = (02:45:42.432, -53:03:08.64) = (41.42680, -53.05240)   BPZ = 0.020 [0.010--3.395]   type = 11.00 (SB11_A_0_l)   chisq2 = 59.40   ODDS = 0.92   z_cluster = 0.300