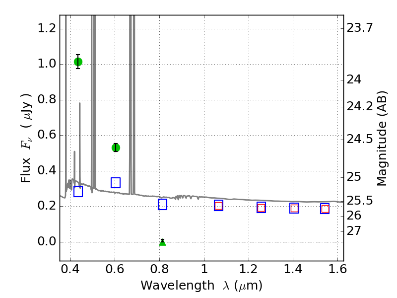
ABELLS295 ACS+IR detection object #4435

Color images and BPZ results
Catalog: 4435.cat
Black segments are analyzed here.   Roll mouse over color images to view segments.
Best viewed in a wide browser window (1200 pixels or more).   Download SED & P(z) plots to view larger versions.
In P(z) plots: Yellow lines mark the cluster redshift z = 0.300,  

Object #4435   x,y = (563, 1884)   RA, Dec = (02:45:42.408, -53:03:03.96) = (41.42670, -53.05110)   BPZ = 0.017 [0.010--0.034]   type = 11.00 (SB11_A_0_l)   chisq2 = 373.34   ODDS = 1.00   z_cluster = 0.300