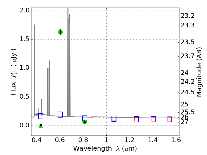
ABELLS295 ACS+IR detection object #4403

Color images and BPZ results
Catalog: 4403.cat
Black segments are analyzed here.   Roll mouse over color images to view segments.
Best viewed in a wide browser window (1200 pixels or more).   Download SED & P(z) plots to view larger versions.
In P(z) plots: Yellow lines mark the cluster redshift z = 0.300,  

Object #4403   x,y = (625, 2140)   RA, Dec = (02:45:42.000, -53:02:48.84) = (41.42500, -53.04690)   BPZ = 0.017 [0.010--3.591]   type = 11.00 (SB11_A_0_l)   chisq2 = 818.51   ODDS = 0.83   z_cluster = 0.300