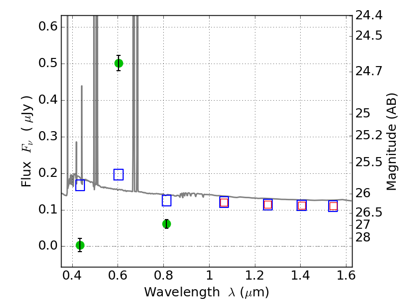
ABELLS295 ACS+IR detection object #4180

Color images and BPZ results
Catalog: 4180.cat
Black segments are analyzed here.   Roll mouse over color images to view segments.
Best viewed in a wide browser window (1200 pixels or more).   Download SED & P(z) plots to view larger versions.
In P(z) plots: Yellow lines mark the cluster redshift z = 0.300,  

Object #4180   x,y = (570, 2003)   RA, Dec = (02:45:42.360, -53:02:57.12) = (41.42650, -53.04920)   BPZ = 0.017 [0.010--0.038]   type = 11.00 (SB11_A_0_l)   chisq2 = 223.65   ODDS = 1.00   z_cluster = 0.300